Home
/ How To Use Foil Method With 3 Terms : For polynomials with a nonprime leading coefficient and constant term, you can use a procedure called the foil method of factoring (sometimes called the british method).
How To Use Foil Method With 3 Terms : For polynomials with a nonprime leading coefficient and constant term, you can use a procedure called the foil method of factoring (sometimes called the british method).
How To Use Foil Method With 3 Terms : For polynomials with a nonprime leading coefficient and constant term, you can use a procedure called the foil method of factoring (sometimes called the british method).. They are called binomials because they each have two terms. The best way to multiply polynomials is the grid method. To multiply polynomials, we use the distributive property. First terms, outer terms, inner terms, last terms. You use foil to multiply the terms inside the parenthesis in a specific order:
Now we will work through an example where we use the foil pattern to multiply two binomials. To find the factors, you must determine which of the sets of factors result in the polynomial when multiplied together. When the foil method fails, you know … The only set that works is. Using the foil method, a set of factors with the form will result in.
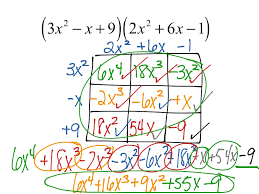
Multiply Polynomials With Examples Foil Grid Methods Owlcation from images.saymedia-content.com The term appears in william betz's 1929 text algebra for today, where he states: First (first terms of each binomial are multiplied together); Now multiply the inner terms. You multiple both first terms to get. Two brackets multiplying each other are shown below: Combine like terms (if you can). (the rule stated above may also be remembered by the word foil, suggested by the first letters of the words first, outer, inner, last.) This algebra video tutorial focuses on the foil method.
Soak your tarnished metal items:
In this video, we use the foil method to multiple binomials. To master the foil method better, we shall solve a few examples of binomials. This algebra video tutorial focuses on the foil method. In elementary algebra, foil is a mnemonic for the standard method of multiplying two binomials —hence the method may be referred to as the foil method.the word foil is an acronym for the four terms of the product: It explains how to multiply binomials, trinomials and polynomials together. Now we will work through an example where we use the foil pattern to multiply two binomials. The foil method is a method for multiplying two brackets together. Multiply the first term of each binomial together. And one teaspoon of dish soap. You must foil the expression which means to multiply the first terms together followed by the outer terms, then the inner terms and lastly, the last terms. You multiple both first terms to get. The foil method is shown in the diagram below. Each of the brackets (a + b) and (c + d) have two terms added (or subtracted) to each other.
(x+6)(x+9) ( x + 6) ( x + 9). In this video, we use the foil method to multiple binomials. It captures the result of applying the distributive property of multiplication over addition three times: That's not too hard to remember if you say it in your head a few times. Soak your tarnished metal items:
1 from To use the foil method, the first thing you need to do is place each of the binomials in its own parentheses. Then the outer terms are multiplied. That's where we use the foil method. Multiplying polynomials becomes a little trickier when you multiply two binomials. Now multiply the inner terms. Multiply using the foil method: To multiply polynomials, we use the distributive property. Outer (outside terms are multiplied—that is, the first term of the first binomial and the second term of the.
It captures the result of applying the distributive property of multiplication over addition three times:
This algebra video tutorial focuses on the foil method. Multiplying polynomials becomes a little trickier when you multiply two binomials. So, multiply the last terms. Now multiply the outer terms. Perfect for homeschoolers and those that want to learn math on t. Multiply the last term of each expression together. Multiplying binomials using the foil method. First, line the inside of a bowl with aluminum foil. First (first terms of each binomial are multiplied together); 👉 learn how to multiply polynomials. Foil helps you make sure all terms are distributed. The distributive property is essential for multiplying polyn. Then the outer terms are multiplied.
👉 learn how to multiply polynomials. You multiple both first terms to get. Now multiply the inner terms. Perfect for homeschoolers and those that want to learn math on t. Each of the brackets (a + b) and (c + d) have two terms added (or subtracted) to each other.
Chapter 5 2 Solving Quadratic Equations By Factoring Ppt Download from images.slideplayer.com You multiple both first terms to get. The letters stand for first, outside, inside, and last, referring to the order of multiplying terms. You must foil the expression which means to multiply the first terms together followed by the outer terms, then the inner terms and lastly, the last terms. We are simply multiplying each term of the first binomial by each term of the second binomial, and then combining like terms. Now multiply the inner terms. The only set that works is. Multiply the first term of each binomial together. The foil method uses the letters.
To use the foil method, the first thing you need to do is place each of the binomials in its own parentheses.
You must foil the expression which means to multiply the first terms together followed by the outer terms, then the inner terms and lastly, the last terms. Using the foil method, a set of factors with the form will result in. Next, using the foil method, multiply the first terms from each binomial together. That's not too hard to remember if you say it in your head a few times. Foil is a mnemonic to help enumerate all individual products of terms when multiplying two binomials. The lesson the foil stands for the first outside inside last method. (x+6)(x+9) ( x + 6) ( x + 9). Combine like terms (if you can). In other words, using the previous example: In this video, we use the foil method to multiple binomials. First (first terms of each binomial are multiplied together); In this video we multiply a binomial (2 terms) times a trinomial (3 terms) and discuss how this could be extended to even more terms. Now multiply the inner terms.
The last multiplication operation in the foil method is to multiply the last terms how to use foil method. You must foil the expression which means to multiply the first terms together followed by the outer terms, then the inner terms and lastly, the last terms.